出国留学
SAT
IELTS
TOEFL
GRE
SAT
PTE
多邻国
首页
练习
课程
我的SAT
首页
>
往年样题
>
题目详解
题目详解
题目来源来自网络
题目来源:
21-03AS 数学2 Q22
正确答案:
B
问题反馈
收藏题目
详解
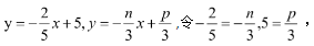
无穷多解,所以两条直线重合,k和b都相等,把等式变成标准式
,求解得n=6/5, p=15,所以np=18,选B
0
题目标记:
答对了
答错了
漏选了
题目讨论
登录
免费查看解析
还没有账号?
马上注册