出国留学
SAT
IELTS
TOEFL
GRE
SAT
PTE
多邻国
首页
练习
课程
我的SAT
首页
>
往年样题
>
题目详解
题目详解
题目来源来自网络
题目来源:
20-03AS 数学1 Q13
正确答案:
A
问题反馈
收藏题目
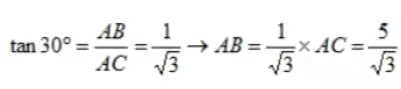
详解
选A
0
题目标记:
答对了
答错了
漏选了
题目讨论
登录
免费查看解析
还没有账号?
马上注册