出国留学
SAT
IELTS
TOEFL
GRE
SAT
PTE
多邻国
首页
练习
课程
我的SAT
首页
>
往年样题
>
题目详解
题目详解
题目来源来自网络
题目来源:
20-09NA 数学2 Q22
正确答案:
C
问题反馈
收藏题目
详解
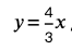
Line k 和J slope相同,y-intercept 相同,故两条直线重合,直线表达式为
,当x>0时,
,两条直线均满足,选C。
0
题目标记:
答对了
答错了
漏选了
题目讨论
登录
免费查看解析
还没有账号?
马上注册